手推式龍門吊,兩端為三角支撐架,上方為橫梁,可搭配鋼絲繩電動葫蘆或環鏈電動葫蘆,移動方式為萬向腳輪推動移動,使用十分方便,廣泛應用于各大車間,倉庫,室外等地。
主要功能及優點:
1.自重輕、便攜,現場即可手動安裝
僅幾個螺栓即可把組件連接在一起;
在幾分鐘內即可完成支腿的安裝;
萬向腳輪方便任何位置定位;
在所有平坦和凸凹不平的地面均可使用;
結構簡單,高度和跨度均可調整;
可折疊,方便存儲及運輸;

產品特點:
1.件和焊接組件對齊安裝。操作方便 使用壽命長。
2.標準質量的工字梁,產品質量有保障。
3.螺栓采用8.8級高強鋼,鍍漆面,增強產品使用壽命。
4.采用重型腳輪,使用壽命長,滾動性能好,即使在粗糙的地面上也不影響使用。
2.側梁與支腿通過螺栓連接保證了整體的穩定性
3.,易清洗,適用于電鍍及潔凈室等環境
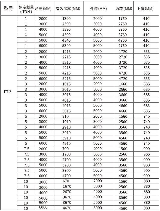
4.起升載荷500kg-5000kg,高度及跨度均可定制
